Za kvalitetno i efektivno prskanje atomizerom najvažnije je pravilan odabir odgovarajućih dizni
Za sigurno najvažnija pretpostavka kvalitetnom i efektivnom prskanju atomizerom jest pravilan odabir dizne za pojedinu aplikaciju. Većina atomizera ima dvostruki nosač dizne pa je moguće sa dvije dizne pokriti 90% potreba po pogledu potrošnje i načinu aplikacije.
Prvi korak u odabiru veličine dizne je definiranje važnih parametara samog nasada i atomizera:
Nakon što smo definirali važne varijable možemo krenuti u izračun jedinične potrošnje dizne (l/min):

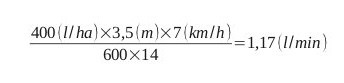
Primjer izračuna jedinične potrošnje dizne ako želimo postići potrošnju od 400 litara po hektaru u svom nasadu gdje imamo širinu redova od 3,5 m i prosječno ćemo voziti 7 km/h. Na atomizeru ćemo prskati sa ukupno 14 dizni (7 sa svake strane).
Kada sve to uvrstimo u formulu dobivamo vrijednost od 1,17 litara u minuti te sada u tablici trebamo pronaći veličinu dizne koja nam najviše odgovara dobivenoj vrijednosti:

Iz priloženog se vidi da imamo dvije mogućnosti, veličina 02 (žuta) sa pritiskom od 7 bara ili veličina 015 (zelena) sa pritiskom od 12 bara.
Ako bismo sa istim postavkama željeli postići potrošnju primjerice od 1000 litara po hektaru tada bi naša jedinična potrošnja po dizni bila 2,92 l/min i trebali bi koristiti 04 (crvena) diznu sa pritiskom od 10-11 bara.
Kod odabira modela dizne važno je na umu imati vremenske uvjete i način apliciranja na površinu lista. Specifični uvjeti u različitim nasadima doveli su do razvoja modela dizni namijenjenih za prskanje atomizerom te danas postoji široki spektar dizni i mogućnosti odabira i prilagođavanja su zaista velike.
Kad se spominju vremenski uvjeti najprije se misli na utjecaj vjetra koji uvelike utječe na rasip (drift). U tom pogledu imamo na raspolaganju nekoliko modela dizni koje smanjuju utjecaj vjetra i drift je veoma mali ili gotovo neznačajan.
U dosta slučajeva kao standardna oprema na atomizerima javlja se klasični keramički disk koji je nekada zadovoljavao potrebe prskanja, međutim danas je situacija bitno drugačija i takav izbor treba izbjegavati ukoliko se žele postići kvalitetni rezultati. Problem je u driftu i aplikaciji na površinu lista koja ne pokriva list ravnomjerno.
U praksi se smatra da je fungicidna dizna minimum koji bi svaki atomizer trebao imati. Prednost ovakvih dizni je veoma dobra pokrivenost zbog sitnijih i manjih kapljica što u konačnici zaštitu čini izuzetno efikasnom. Mana im je relativno veliki potencijal drifta upravo zbog sitnih kapljica koje se često pretvaraju u maglu pa ih vjetar može vrlo lako zanositi. Za prskanje po mirnom vremenu ovaj model dizni je odličan odabir. Naša preporuka: Lechler TR dizna.
Da bi se smanjio utjecaj vjetra koji sa promjenama klimatskih uvjeta sve više remeti proces prskanja i smanjuje ukupnu efikasnost zaštite, razvijeno je nekoliko modela dizni koje uz potporu zraka kreiraju veće kapljice koje vjetar ne može tako lako zanositi što u konačnici u velikoj mjeri smanjuje drift. Njihov nedostatak se očituje u činjenici da je potrebno raditi sa vrlo preciznim pritiskom i malim odstupanjima od toga jer u protivnom se kapi povećavaju (ako se radi sa manjim pritiskom od propisanog i idealnog) te pokrivenost bude sve manja i neravnomjerna.
LecITR diznahler ITR model - nadogradnja fungicidne TR dizne. Odgovara u većinu nosača dizni i matica, promjer 11.9 mm.
- Veličina kapljice: velika do ekstremno velika
- Drift potencijal: iznimno nizak
- Preporučeni raspon pritiska: 10 - 30 bara
Lechler ID 90 model - profesionalna dizna protiv vjetra. Odgovara u većinu nosača dizni. Biološka efikasnost veoma slična TR diznama zbog ravnomjernih kapljica i dobre pokrivenosti. Daje izuzetno dobre rezultate i sa nižim pritiscima.
- Veličina kapljice: velika do vrlo velika
- Drift potencijal: iznimno nizak
- Preporučeni raspon pritiska: 3 - 20 bara
Lechler IDK 90 model - također profesionalna dizna protiv vjetra koja se koristi i u ratarstvu. Dimenzije same dizne su dosta neobične i ne odgovaraju u većinu nosača dizni već je za njih potreban posebna matica. Kao i ID model daje odlične rezultate i na nižim pritiscima.
- Veličina kapljice: srednja do vrlo velika
- Drift potencijal: iznimno nizak u rasponu 2 - 8 bara
- Preporučeni raspon pritiska: 2 - 20 bara
Kad se odlučuje o veličini i modelu dizne za atomizer uvijek treba uzeti u obzir količinu novaca koji godišnje prođe kroz atomizer (u vidu cijene zaštitnih sredstava). Veliki je broj korisnika koji godišnje na zaštitu sredstava utroše i više od 50.000 kn pa nije svejedno kakav će biti učinak prskanja i da li se kroz smanjenje rasipa može napraviti ušteda koja prosječno iznosi 5-9%. Osim smanjenja drifta treba uzeti u obzir i rezultate na kraju sezone u vidu kvalitetnijih plodova.
Također i kod kupnje novih atomizera trošak odabira kvalitetnijih i profesionalnih dizni iznosi 3-7% (kod nošenih atomizera) i 2-5% (kod vučenih atomizera) ukupne cijene stroja. Taj postotak se vrlo brzo isplati i donosi uštede i koristi ukoliko se malo više pažnje i vremena posveti pravilnom odabiru dizni.
Za sve dodatne informacije se obratite s povjerenjem:
Leško d.o.o.
40316 Vratišinec
Brodec 3
tel: +385(0) 40 867-317
e-mail: lesko@lesko.hr
www.lesko.hr
Partner
Vratišinec,
Hrvatska
tel: 040/867-317,
e-mail: mirko.lesko@lesko.hr
web: http://www.lesko.hr