Zadnje aktivnosti

Zadnje aktivnosti korisnika mogu vidjeti samo registrirani korisnici.

Online korisnici

Online korisnike Agrokluba mogu vidjeti samo registirani korisnici.
Za potpune funkcionalnosti ovih servisa, prijavi se.

Promo

AppleResist - završni rezultati

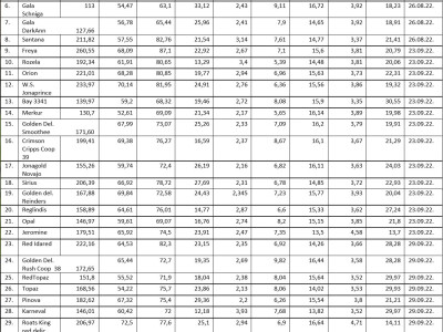
Cilj Appleresist projekta je proizvođačima i struci dati smjernice za prilagodbu klimatskim promjenama za postojeću, ali i planiranje buduće proizvodnje, s naglaskom na toplinski i sušni stres koji su i osnova ovog pokusa. 

Foto 1: Rezultati iz Donje Zeline
Foto 2: Rezultati iz Osijeka
Foto 3: Bay 3341
Foto 4: Santana
Foto 6: Collina
Foto 7: Mladi nasad 

Foto: HAPIH 

Prethodna galerija

Sljedeća galerija


Autorica

Maja Celing Celić

Hobi vrtlarica i zaljubljenica u prirodu s iskustvom rada u lokalnim i specijaliziranim medijima. Nekadašnja dugogodišnja urednica Agrokluba, danas u nešto slobodnijem 'freelance' modu publiciranja agrarnih tema.


Partner

APPLERESIST

Vladimira Preloga 1, 31000 Osijek, Hrvatska
tel: +385 31 554 801, e-mail: tvinkovic@fazos.hr