Ako se zadržimo samo na pokazateljima realnih vrijednosti, može se uočiti da je hrvatska poljoprivreda u 2022., u odnosu na 2015. godinu, ostvarila treći najveći porast u EU, ističu iz Ministarstva poljoprivrede.
"Poljoprivreda je neosporno važna djelatnost u Hrvatskoj, a ta važnost proizlazi iz broja zaposlenih u toj djelatnosti, njezinom udjelu u ukupnom bruto domaćem proizvodu (BDP), a još više iz činjenice da je nužna za prehrambenu sigurnost, brigu o prirodnim resursima i stabilnost ruralnih područja u Hrvatskoj", navode iz Ministarstva poljoprivrede reagirajući na navode o intenzivnom propadanju poljoprivrede u RH.
Kako kažu, višestruki značaj poljoprivrede (gospodarski, socijalni i okolišni) prepoznat je i u cijeloj Europskoj uniji. Zbog toga je za poljoprivredu, koja na razini prosjeka EU-a čini 1,4 posto BDP-a, osigurano 31 posto od ukupnih sredstava EU proračuna.
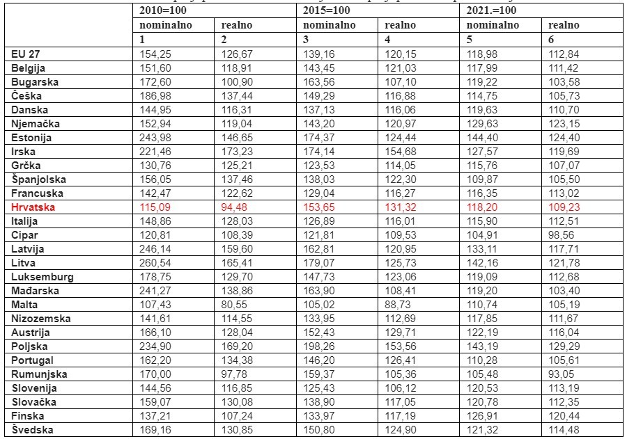
"Trend poljoprivredne proizvodnje u Hrvatskoj i drugim državama članicama EU-a, prema podacima Eurostat-a o vrijednosti poljoprivredne proizvodnje u 2022., iskazan je između ostalog i u realnoj vrijednosti u usporedbi s 2010., a polazeći od ovih podataka članak na jednom portalu navodi kako se jedino u Hrvatskoj i Rumunjskoj bilježi pad poljoprivredne proizvodnje, pri čemu je taj "pad veći upravo u Hrvatskoj"", ističu.
Ovakvi navodi, kažu, daju iskrivljenu sliku stvarnog stanja, s obzirom na to da se zanemaruju druge informacije koje se mogu pronaći u istoj tablici Eurostata-a. Za bolje razumijevanje u nastavku daju usporedni pregled svih ovih podataka za EU i po državama članicama.
"Iz ove je tablice jasno da je se za tvrdnje o propadanju hrvatske poljoprivrede koriste selektivni podaci iz kolone 2, odnosno jedine u kojoj je za Hrvatsku indeks manji od 100, dok se propušta uzeti u obzir relevantne podatke iz ostalih. Točno je i ispravno naglasiti da je pad poljoprivredne proizvodnje evidentiran u razdoblju do 2015., a nakon toga vrijednost poljoprivredne proizvodnje raste", ističu iz Ministarstva.
Kako kažu, nakon 2016. godine bilježimo oporavak i kontinuirani rast vrijednosti poljoprivredne proizvodnje u Hrvatskoj. Nadalje, kad se uzme u obzir činjenica da je do pristupanja Hrvatskoj EU korištena drukčija metodologija obračuna vrijednosti proizvodnje u koju su ulazile potpore, a danas u vrijednost proizvodnje ulaze samo potpore koje se direktno mogu vezati za jedinicu proizvodnje koje čine tek mali postotak svih potpora, onda bi drukčiji indeks bio čak i u odnosu na 2010. godinu.
"Ako se zadržimo samo na pokazateljima realnih vrijednosti, može se uočiti da je hrvatska poljoprivreda u 2022., u odnosu na 2015. godinu, ostvarila treći najveći porast u EU s indeksom 131,32", napominju. Veći porast od Hrvatske po tom pokazatelju imali su samo Poljska i Irska, a rast se nastavio i u 2022. godini, pri čemu je realna stopa u odnosu na 2021. godinu bila 9,23, a nominalna 18,2 posto.
Također, kažu da navodi o maloj površini PG-ova i korupciji u trošenju poljoprivrednih potpora zaslužuju komentar.
"Poznato je da u strukturi poljoprivrednih gospodarstava u Hrvatskoj prevladavaju mala poljoprivredna gospodarstva. U Europskoj uniji postoje velike razlike među državama članicama po veličini poljoprivrednih gospodarstava: od Malte, u kojoj je prosječno gospodarstvo veličine 1,3 ha, do Češke s prosječnim gospodarstvom od 120,8 ha. One su uzrokovane prirodnim obilježjima, tradicijom te prioritetima poljoprivrednih politika svake države", navode iz resornog Ministarstva.
Ovdje, kažu, valja napomenuti i kako je velika površina poljoprivrednih gospodarstava u pojedinim zemljama rezultat komunističkog nasljeđa, odnosno vremena u kojemu su se poljoprivredom bavili gotovo isključivo veliki kombinati, dok su mali poljoprivrednici bili marginalizirani.
Pogrebna povorka ispred Ministarstva poljoprivrede: Selo i seljaka se uništava
Kako ističu, veličina gospodarstva sama po sebi nije pokazatelj niti razlog konkurentnosti. To više ovisi o strukturi poljoprivredne proizvodnje. Za konkurentnu ratarsku proizvodnju važne su veće površine poljoprivrednog zemljišta, ali profitabilna proizvodnja može se u drugim sektorima ostvariti i na manjim površinama. Primjerice, u Italiji je prosječna površina poljoprivrednog gospodarstva 10,7 ha (za 38 posto manje nego prosjek EU-a), a unatoč tome, Italija je s 13,9 posto udjela u vrijednosti poljoprivredne proizvodnje EU-a treći najveći poljoprivredni proizvođač u EU. Zbog toga je jedan od prioriteta hrvatske poljoprivredne politike povećanje vrijednosti poljoprivredne proizvodnje, između ostaloga i preusmjeravanjem u dohodovnije sektore, stoji u njihovoj reakciji.
Također, ovim putem odbacuju tvrdnju da se poticaji u poljoprivredi "troše na netransparentan i koruptivan način". "U Hrvatskoj je u 2022. godini, prema podacima Agencije za plaćanja u poljoprivredi, ribarstvu i ruralnom razvoju bilo 106,5 tisuća korisnika poljoprivrednih potpora, a godišnje se obave desetci revizija. Sugerirati da su, zbog pojedinačnih slučajeva koji se procesuiraju, svi oni uključeni u koruptivne radnje i organizirani kriminal, je uvreda za hrvatske poljoprivrednike. Na temelju selektivno iznesenih pojedinačnih informacija ne može se donijeti ocjena o funkcioniranju ili nefunkcioniranju sustava potpora u Hrvatskoj", pojašnjavaju.
Podsjećaju i kako udio mladih poljoprivrednika u Hrvatskoj prema posljednjim podacima iznosi 14,4 posto, što predstavlja rast od 66 posto u odnosu na 2015., pri čemu su naši poljoprivrednici sve obrazovaniji, zaključili su.
Tagovi
Autorica
Đuro Japaric
prije 2 godine
Ovi zaposleni u nesposobnom ministarstvu , očito su učenici Hitlerovog ministra propagande , GEBELSA ! U Hrvatskoj poljoprivredi SVE je poznato , od otoka pa do kopna na bazi obrade zemlje zasnovan je PREVELIK broj obitelji ! Iseljavanjem i UMIRANJEM seljačke populacije SMANJUJE se proizvodnja i OBRADIVA površina zemlje , POVEĆAVA se površina pod ŠIKARAMA i ŠUMAMA i KOROVOM ! POVEĆATI proizvodnju i obradive površine MOGUĆE je samo RAZVOJEM KOMERCIJALNIH OPG na bazi državne i privatne zemlje ! U idućih 10 godina biti će POMOR nas starijih vlasnika OPG i od nas TREBAJU zemlju kupovati KOMERCIJALNI OPG , jer na veliki broj OPG NEĆE se vratiti naša djeca iz INOZEMSTVA ili GRADOVA ! Samo ovo ne razumije hrvatska politička bagra !
Đuro Japaric
prije 2 godine
g. Roberte čestitam na osnivanju stranke ! Ja iznosim povijesne činjenice kada spominjem Sulejmana Veličanstvenog , jer od TURSKIH popisa MOŽEMO pratiti STANJE u poljoprivredi ! Penava je sklopio ugovor o izlasku na izbore sa nekakvom Demokratskom HSS ! Ako Vi mislite ići na IZBORE za 10 lista treba vam 140 kandidata . PROTIV HDZ nema se tko suprostaviti po PAMETI , pa nastojte to Vi ! 1. Zakon o poljoprivrednom zemljištu je NEOBVEZUJUĆI i MORA se napisati NOVI ! 2 . Plagirani BEOGRADSKI Zakon o nasljeđivanju , nema veze sa ekonomijom - omogućava POVRŠINSKO uništavanje OPG - povećanje broja vlasnika - USITNJAVANJE - POKRTANJE ostavinskog postupka u ISELJENIČKOJ RH nije obvezujuće pa puno zemlje imamo na UMRLIM ! 3. Zakon o vlasništvu i drugim stvarnim pravima - ako imate 151 parcelu u selu X , po jednu MOŽETE prodati svakom zastupniku i NESPOSOBNOM Plenkoviću - to znači USITNJAVANJE i POVEĆANJE broja vlasnika , 4 . DVOSTRUKA evidencija zemlje iz CARSKE Austrije - posljedica je NESREĐENO stanje u gruntovnicama i katastru - EKONOMSKI nije isplativo sređivanje stanja putem takozvanih ZEMLJIŠNO KNJIŽNIH ISPRAVAKA !Plenković NIJE osigurao novac za sređivanje stanja u korist RH , ako je RH u katastru , a u gruntovnici na vašem pradjedu ! 5 . Zakon o vodama , mora se mijenjati u smislu UTVRĐIVANJA i IZGRADNJE akumulacija , 6 . Zakon o šumama - mora se isto mijenjati ! RADIO sam NA ANALIZI postojećih zakona u IME UNIŠTENE UDRUGE OPG Hrvatske i NUŽNOSTI drugačijih rješenja ! USTAVNU osnovu za DRGAČIJA rješenja imamo u VIŠE ČLANKA Ustava ! Ali BAGRA predvođena Plenkovićem i 150 KRIMINALACA koji se zovu zastupnici hrvatskog sabora , NEĆE NIŠTA PREDLOŽITI U INTERESU ZA OPG ! Pa vidite što pišem , i umjesto diletanta Radića , putem medija govorite , ŠTO imamo i ŠTO se MORA MIJENJATI !
Robert Hadžić
prije 2 godine
U poljoprivredi vrijednosni pokazatelji itekako mogu dovesti u zabludu. Makar i gore navedeno dovoljno govori. Očigledno da iz niza treba koristiti ono što ide nadležnima u prilog, a sve drugo isključiti. Zato su naturalni pokazatelji prava slika kretanja i stanja u poljoprivredi. Evo samo nekih podataka: mlijeko u kg - 2015. 513.000, 2022. 405.000, pad 26,6% broj mliječnih krava u tisućama - 2015. 147, 2021. 102, pad 44% broj svinja u tisućama - 2015. 1.167, 2022. 945, pad 23,5% Niže su poveznice na službene podatke po zemljama članicama. https://ec.europa.eu/eurostat/databrowser/view/tag00037/default/table?lang=en https://ec.europa.eu/eurostat/databrowser/view/tag00018/default/table?lang=en https://ec.europa.eu/eurostat/databrowser/view/tag00014/default/table?lang=en
Đuro Japaric
prije 2 godine
Lupetaju u Ministarstvu za uvoz poljoprivrednih proizvoda i uništavanju sela !MALU površinu i RASCJEPKANOST zemljišta imamo zahvaljujući SRPSKO - hrvatskoj agrarnoj reformi 1918 , BROZOVIH komunista 1945 i BROZOVIH komunista koji su knjižice SKJ zamijenili većinom u HDZ i SDP ! Na dohodovnije kulture NE MOŽEMO ići jer REŽIM u Zagrebu NE IDE U IZGRADNJU akumulacija i sustava za navodnjavanje ! Stranka > Sulejman Veličanstveni > , NUDI PROGRAM OKRUPNJAVANJA PARCELA , izgradnju sustava za NAVODNJAVANJE , NOVI Zakon za državnu zemlju , NOVE zakone za PRIVATNU zemlju , UKIDANJE dvostruke Austrijske evidencije zemlje ! Nadam se da će POSLANICI u POSRBLJENOM saboru 1918 shvatiti što se KMETOVIMA nudi ?
Hdz zlocinacka organizacija
prije 2 godine
Veliki postaju sve veci, prolaze na svim natjecajima, povlace milijune. Za male nema ni mjere 6.3 za sve. Nek se napise koliko je novca kroz poticaje i fondove zavrsili kod Opg-ova, a koliko kod ostalih. Taj podatak skrivaju, a tu je kljuc odumiranja sela.
SASA FRANIC
prije 2 godine
hehehe koje odatke ovi kot=riste za rast?? rast je u nazad. samo neka se pohvale u samodostatnosti i omjeru uvoza i izvoza. to su uspjesi tih poganih Briselskih postara
mali poljoprivrednik
prije 2 godine
Koji sektori su to rasli,ili čega to proizvodimo više?Što se tiče poticaja neka samo odgovore koliko korisnika povijesnih prava drže stoku za koju su dobili prava i sada su im produžili ista.Koliko su poticaja za dobrobit životinja dobili veliki igrači?